推迟投档!广东本科19日起查录取!专科呢?

2022-07-15 09:22:48
A+ A-

推迟投档!广东本科19日起查录取!专科呢?

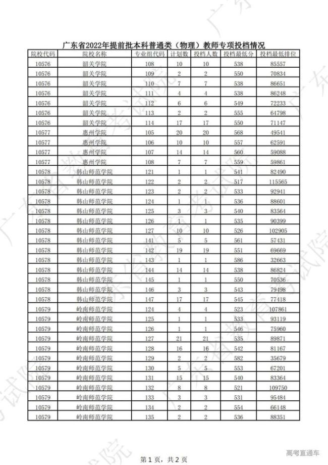
广东2022年提前批本科教师专项投档情况(物理类)

推迟投档!广东本科19日起查录取!专科呢?

推迟投档!广东本科19日起查录取!专科呢?

广东2022年提前批本科教师专项投档情况(历史类)

精彩推荐